Diagrama Momento-Curvatura
COMPORTAMIENTO DE LA SECCIÓN
Por analogía a lo visto para los materiales isótropos, para el caso de la SECCIÓN de Hormigón Armado, se pueden definir una serie de Propiedades Mecánicas que definirán el comportamiento elástico y plástico de las piezas prismáticas lineales descrito según los principios de la Resistencia de Materiales.
Al ser el H.A. un material anisótropo y compuesto, cuyas características dependen de las de sus componentes así como sus cantidades y posiciones relativas en la sección, obtendremos una serie de propiedades para cada combinación de las características:
- Geometría de la Sección de H.A
- Tipo de acero normalizado
- Tipo y composición del Hormigón
- Cantidad y posición de Armaduras
- Clase de Esfuerzos en la sección
Al igual que para los materiales era el Ensayo de Tracción el que nos daba el diagrama Tensión-Deformación característico de cada material, para las secciones de H.A. será el Diagrama Momento-Curvatura el instrumento determinante para estimar sus propiedades mecánicas.
DIAGRAMA MOMENTO-CURVATURA
Se establece una correlación entre el esfuerzo de Flexión simple recta y la curvatura (φ = 1/r) que genera este en la sección considerada. El diagrama resultante resulta de gran valor para el estudio de la ductilidad a nivel de sección.

(A) – SECCIÓN NO FISURADA
Al comienzo del ciclo de carga la respuesta es perfectamente elástica y sin fisuración del hormigón hasta el límite (1) en que el hormigón se fisura en su sector traccionado. Por lo tanto en esta región la inercia de cálculo para las tensiones en la sección corresponde con la Inercia de la sección bruta.
(B) – SECCIÓN FISURADA
Esta región del diagrama comienza en el momento en que fisura el hormigón (1), por lo que hay una disminución de Inercia, que pasa a ser la Inercia de la sección fisurada, y por tanto una disminución en la rigidez (módulo de Young) de la sección que se aprecia en una variación de la pendiente del tramo. La respuesta sigue siendo elástica. El límite de la región es el momento de plastificación de la armadura de acero (2).
(C) – SECCIÓN PLASTIFICADA
Entramos en la región correspondiente a la deformación plástica del acero, y por lo tanto la que determina la ductilidad de la sección. La deformación en este tramo será permanente, formándose una rótula plástica en la sección y terminará en el valor máximo correspondiente al momento (Momento Último) para el que se considera la sección rota a efectos resistentes, independientemente de si la rotura es debida al acero, al hormigón o a ambos.
(D) – POST-ULTIMA (MARGINAL)
Esta región marginal contempla el estado de la sección hasta su rotura material por separación de los tramos de la pieza a ambos lados de la sección. Aunque se considera a efectos de cómputo de la ductilidad, no es tenida en cuenta a efectos de resistencia.
CONFIGURACIONES DE ROTURA
El diagrama MC puede adoptar infinitas configuraciones dependiendo de la sección. No obstante, es interesante analizar al menos tres configuraciones extremas que definen la sección genérica.

(A) ROTURA AGRIA. 1=3
Esta configuración de rotura se dá cuando el punto de fisuración (1) coincide con la rotura (3), es decir pertenece a un Dominio 4a. Es una situación frágil y peligrosa ya que la rotura se produce sin aviso. Suele darse en secciones con falta de armado a flexión, por debajo de la cuantía mínima. La forma de pasar de (A) a (B) es aumentar la cuantía de armadura al menos hasta la cuantía mínima que nos asegura evitar la rotura agria.
(B) ROTURA DÚCTIL
Es el modo de rotura ideal de la sección, ya que rompe en dominio plástico tras una gran deformación y absorber alta energía de deformación. Se corresponde con Dominios 2 y 3 para cuantías de armadura intermedias y absorbe una alta energía de deformación (área sombreada).
(C) ROTURA FRÁGIL 2=3
Se produce tras la fisuración del hormigón, pero justo al llegar al límite elástico del acero, por lo que se produce en región elástica sin llegar a la plastificación y sin ductilidad alguna, por lo que se ha de evitar.
Este tipo de rotura correspondiente a Dominio 4, se da para altas cuantías de armadura, (por lo que la rigidez inicial es mayor que en (B)) rompiendo la cabeza de compresión del hormigón antes que el acero (vigas planas). La mejor solución para pasar de (C) a (B) es aumentar el canto de la sección y/o introducir armadura de compresión.
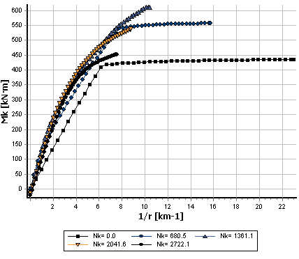
INFLUENCIA DEL AXIL
Hasta ahora no hemos hecho referencia al carácter del esfuerzo que crea la curvatura, suponiendo un flexión simple. No obstante esta configuración no se dá en casos reales, interviniendo además un axil (flexión compuesta).
La composición del esfuerzo es determinante en el diagrama MC, ya que el aumento del axil de compresión disminuye la ductilidad de la sección con idéntico momento flector, tal como puede apreciarse en la figura

Este efecto ya se ha visto durante el estudio de los Dominios de Deformación, pues el paso de Dominio 3 a 4 y 5 (mas dúctil a menos dúctil) se produce por la aparición de esfuerzos de compresión. Se ha de considerar siempre el efecto combinado M+N a la hora de trazar el Diagrama MC de nuestra sección de diseño.
CONCLUSIONES Y COMENTARIOS
- Los diagramas MC permiten comprobar visualmente el comportmiento de un elemento lineal respecto a su ductilidad
- Se ha de diseñar la sección para la ductilidad óptima que impida la rotura frágil y/o agria.
- La aparición de axil de compresión sanciona en gran medida el comportamiento dúctil de una sección.
- Un aumento de cuantía de armadura de tracción en una sección de idénticas características mecánicas produce una drástica disminución de su ductilidad, tal como puede apreciarse en los diagramas MC.


Tal como podemos apreciar, a igual sección, al aumentar el axil de compresión (de 20 a 40) también aumenta el Momento Último, pero disminuyendo en gran medida la capacidad de rotación de la sección en régimen plástico, y por tanto la ductilidad
No Comments